Calculating the Dimension Reduction Ensemble Similarity between ensembles

Here we compare the conformational ensembles of proteins in four trajectories, using the dimension reduction ensemble similarity method.

Last updated: December 2022 with MDAnalysis 2.4.0-dev0

Last updated: December 2022

Minimum version of MDAnalysis: 1.0.0

Packages required:

Optional packages for visualisation:

Note

The metrics and methods in the encore module are from ([TPB+15]). Please cite them when using the MDAnalysis.analysis.encore module in published work.

[1]:
import numpy as np
import matplotlib.pyplot as plt
# This import registers a 3D projection, but is otherwise unused.
from mpl_toolkits.mplot3d import Axes3D
%matplotlib inline

import MDAnalysis as mda
from MDAnalysis.tests.datafiles import (PSF, DCD, DCD2, GRO, XTC,
                                        PSF_NAMD_GBIS, DCD_NAMD_GBIS)
from MDAnalysis.analysis import encore
from MDAnalysis.analysis.encore.dimensionality_reduction import DimensionalityReductionMethod as drm

Loading files

The test files we will be working with here feature adenylate kinase (AdK), a phosophotransferase enzyme. ([BDPW09])

[2]:
u1 = mda.Universe(PSF, DCD)
u2 = mda.Universe(PSF, DCD2)
u3 = mda.Universe(PSF_NAMD_GBIS, DCD_NAMD_GBIS)

labels = ['DCD', 'DCD2', 'NAMD']
/home/pbarletta/mambaforge/envs/guide/lib/python3.9/site-packages/MDAnalysis/coordinates/DCD.py:165: DeprecationWarning: DCDReader currently makes independent timesteps by copying self.ts while other readers update self.ts inplace. This behavior will be changed in 3.0 to be the same as other readers. Read more at https://github.com/MDAnalysis/mdanalysis/issues/3889 to learn if this change in behavior might affect you.
  warnings.warn("DCDReader currently makes independent timesteps"

The trajectories can have different lengths, as seen below.

[3]:
print(len(u1.trajectory), len(u2.trajectory), len(u3.trajectory))
98 102 100

Calculating dimension reduction similarity with default settings

The dimension reduction similarity method projects ensembles onto a lower-dimensional space using your chosen dimension reduction algorithm (by default: stochastic proximity embedding). A probability density function is estimated with Gaussian-based kernel-density estimation, using Scott’s rule to select the bandwidth.

The similarity of each probability density function is compared using the Jensen-Shannon divergence. This divergence has an upper bound of \(\ln{(2)}\) and a lower bound of 0.0. Normally, \(\ln{(2)}\) represents no similarity between the ensembles, and 0.0 represents identical conformational ensembles. However, due to the stochastic nature of the dimension reduction, two identical symbols will not necessarily result in an exact divergence of 0.0. In addition, calculating the similarity with dres() twice will result in similar but not identical numbers.

You do not need to align your trajectories, as the function will align it for you (along your selection atoms, which are select='name CA' by default). The function we use is dres (API docs).

[4]:
dres0, details0 = encore.dres([u1, u2, u3])

encore.dres returns two outputs. dres0 is the similarity matrix for the ensemble of trajectories.

[5]:
dres0
[5]:
array([[0.        , 0.68134177, 0.68452079],
       [0.68134177, 0.        , 0.66369356],
       [0.68452079, 0.66369356, 0.        ]])

details0 contains information on the dimensionality reduction, as well as the associated reduced coordinates. Each frame is in the conformational ensemble is reduced to 3 dimensions.

[6]:
reduced = details0['reduced_coordinates'][0]
reduced.shape
[6]:
(3, 300)

Plotting

As with the other ensemble similarity methods, we can plot a flat matrix of similarity values.

[7]:
fig0, ax0 = plt.subplots()
im0 = plt.imshow(dres0, vmax=np.log(2), vmin=0)
plt.xticks(np.arange(3), labels)
plt.yticks(np.arange(3), labels)
plt.title('Dimension reduction ensemble similarity')
cbar0 = fig0.colorbar(im0)
cbar0.set_label('Jensen-Shannon divergence')
../../../_images/examples_analysis_trajectory_similarity_dimension_reduction_ensemble_similarity_16_0.png

We can also plot the reduced coordinates to directly visualise where each trajectory lies in the lower-dimensional space.

For the plotting of the reduced dimensions, we define a helper function to make it easier to partition the data.

[8]:
def zip_data_with_labels(reduced):
    rd_dcd = reduced[:, :98]  # first 98 frames
    rd_dcd2 = reduced[:, 98:(98+102)]  # next 102 frames
    rd_namd = reduced[:,(98+102):]  # last 100 frames
    return zip([rd_dcd, rd_dcd2, rd_namd], labels)
[24]:
rdfig0 = plt.figure()
rdax0 = rdfig0.add_subplot(111, projection='3d')
for data, label in zip_data_with_labels(reduced):
    rdax0.scatter(*data, label=label)
plt.legend()
[24]:
<matplotlib.legend.Legend at 0x7fd2165443a0>
../../../_images/examples_analysis_trajectory_similarity_dimension_reduction_ensemble_similarity_19_1.png

Calculating dimension reduction similarity with one method

Dimension reduction methods should be subclasses of analysis.encore.dimensionality_reduction.DimensionalityReductionMethod, initialised with your chosen parameters.

Below, we set up stochastic proximity embedding scheme, which maps data to lower dimensions by iteratively adjusting the distance between a pair of points on the lower-dimensional map to match their full-dimensional proximity. The learning rate controls the magnitude of these adjustments, and decreases over the mapping from max_lam (default: 2.0) to min_lam (default: 0.1) to avoid numerical oscillation. The learning rate is updated every cycle for ncycles, over which nstep adjustments are performed.

The number of dimensions to map to is controlled by the keyword dimension (default: 2).

[10]:
dim_red_method = drm.StochasticProximityEmbeddingNative(dimension=3,
                                                        min_lam=0.2,
                                                        max_lam=1.0,
                                                        ncycle=50,
                                                        nstep=1000)

You can also control the number of samples nsamples drawn from the ensembles used to calculate the Jensen-Shannon divergence.

By default, MDAnalysis will run the job on one core. If it is taking too long and you have the resources, you can increase the number of cores used.

[11]:
dres1, details1 = encore.dres([u1, u2, u3],
                         select='name CA',
                         dimensionality_reduction_method=dim_red_method,
                         nsamples=1000,
                         ncores=4)

Plotting

Reducing the learning rate, number of cycles, and number of steps for the stochastic proximity embedding seems to have left our trajectories closer on the lower-dimensional map.

[12]:
fig1, ax1 = plt.subplots()
im1 = plt.imshow(dres1, vmax=np.log(2), vmin=0)
plt.xticks(np.arange(3), labels)
plt.yticks(np.arange(3), labels)
plt.title('Dimension reduction ensemble similarity')
cbar1 = fig1.colorbar(im1)
cbar1.set_label('Jensen-Shannon divergence')
../../../_images/examples_analysis_trajectory_similarity_dimension_reduction_ensemble_similarity_27_0.png
[13]:
reduced1 = details1['reduced_coordinates'][0]

rdfig1 = plt.figure()
rdax1 = rdfig1.add_subplot(111, projection='3d')
for data, label in zip_data_with_labels(reduced1):
    rdax1.scatter(*data, label=label)
plt.legend()
[13]:
<matplotlib.legend.Legend at 0x7fd1d0c7ad00>
../../../_images/examples_analysis_trajectory_similarity_dimension_reduction_ensemble_similarity_28_1.png

Calculating dimension reduction similarity with multiple methods

You may want to try different dimension reduction methods, or use different parameters within the methods. encore.dres allows you to pass a list of dimensionality_reduction_methods to be applied.

Note

To use the other ENCORE methods available, you need to install scikit-learn.

Trying out different dimension reduction parameters

Principal component analysis uses singular value decomposition to project data onto a lower dimensional space. (See the scikit-learn user guide for more information.)

The method provided by MDAnalysis.encore accepts any of the keyword arguments of sklearn.decomposition.PCA except n_components. Instead, use dimension to specify how many components to keep.

[14]:
pc1 = drm.PrincipalComponentAnalysis(dimension=1,
                                     svd_solver='auto')
pc2 = drm.PrincipalComponentAnalysis(dimension=2,
                                     svd_solver='auto')
pc3 = drm.PrincipalComponentAnalysis(dimension=3,
                                     svd_solver='auto')
pc4 = drm.PrincipalComponentAnalysis(dimension=4,
                                     svd_solver='auto')

When we pass a list of clustering methods to encore.dres, the results get saved in dres2 and details2 in order.

[15]:
dres2, details2 = encore.dres([u1, u2, u3],
                         select='name CA',
                         dimensionality_reduction_method=[pc1, pc2, pc3, pc4],
                         ncores=4)
print(len(dres2), len(details2['reduced_coordinates']))
4 4

Plotting

[16]:
titles = ['Dim = {}'.format(n) for n in range(1, 5)]
fig2, axes = plt.subplots(1, 4, sharey=True, figsize=(15, 3))
for i, (data, title) in enumerate(zip(dres2, titles)):
    imi = axes[i].imshow(data, vmax=np.log(2), vmin=0)
    axes[i].set_xticks(np.arange(3))
    axes[i].set_xticklabels(labels)
    axes[i].set_title(title)
plt.yticks(np.arange(3), labels)
cbar2 = fig2.colorbar(imi, ax=axes.ravel().tolist())
cbar2.set_label('Jensen-Shannon divergence')
../../../_images/examples_analysis_trajectory_similarity_dimension_reduction_ensemble_similarity_37_0.png

In this case, adding more dimensions to the principal component analysis has little difference in how similar each ensemble is over its resulting probability distribution (i.e. not similar at all!)

[17]:
rd_p1, rd_p2, rd_p3, _ = details2['reduced_coordinates']

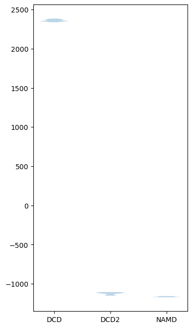
If we plot how the trajectories vary on one dimension with a violin plot, we can see that DCD is indeed very distant from DCD2 and NAMD on the first principal component.

[18]:
rd_p1_fig, rd_p1_ax = plt.subplots(figsize=(4, 8))
split_data = [x[0].reshape((-1,)) for x in zip_data_with_labels(rd_p1)]
rd_p1_ax.violinplot(split_data, showextrema=False)
rd_p1_ax.set_xticks(np.arange(1, 4))
rd_p1_ax.set_xticklabels(labels)
[18]:
[Text(1, 0, 'DCD'), Text(2, 0, 'DCD2'), Text(3, 0, 'NAMD')]
../../../_images/examples_analysis_trajectory_similarity_dimension_reduction_ensemble_similarity_41_1.png

Expanding out to the second principal component shows that DCD2 and NAMD mainly vary on the second axis.

[19]:
rd_p2_fig, rd_p2_ax = plt.subplots()
for data, label in zip_data_with_labels(rd_p2):
    rd_p2_ax.scatter(*data, label=label)
plt.legend()
[19]:
<matplotlib.legend.Legend at 0x7fd21662ec10>
../../../_images/examples_analysis_trajectory_similarity_dimension_reduction_ensemble_similarity_43_1.png

Plotting over the top three principal components gives quite a different result to the reduced coordinates given by stochastic proximity embedding.

[20]:
rd_p3_fig = plt.figure(figsize=(8, 6))
rd_p3_ax = rd_p3_fig.add_subplot(111, projection='3d')
for data, label in zip_data_with_labels(rd_p3):
    rd_p3_ax.scatter(*data, label=label)
rd_p3_ax.set_xlabel('PC 1')
rd_p3_ax.set_ylabel('PC 2')
rd_p3_ax.set_zlabel('PC 3')
plt.legend()
[20]:
<matplotlib.legend.Legend at 0x7fd216582df0>
../../../_images/examples_analysis_trajectory_similarity_dimension_reduction_ensemble_similarity_45_1.png

Estimating the error in a dimension reduction ensemble similarity analysis

encore.dres also allows for error estimation using a bootstrapping method. This returns the average Jensen-Shannon divergence, and standard deviation over the samples.

[21]:
avgs, stds = encore.dres([u1, u2, u3],
                         select='name CA',
                         dimensionality_reduction_method=dim_red_method,
                         estimate_error=True,
                         ncores=4)
[22]:
avgs
[22]:
array([[0.        , 0.24545978, 0.60069985],
       [0.24545978, 0.        , 0.59556372],
       [0.60069985, 0.59556372, 0.        ]])
[23]:
stds
[23]:
array([[0.        , 0.06153911, 0.05076614],
       [0.06153911, 0.        , 0.03881675],
       [0.05076614, 0.03881675, 0.        ]])

References

[1] Oliver Beckstein, Elizabeth J. Denning, Juan R. Perilla, and Thomas B. Woolf. Zipping and Unzipping of Adenylate Kinase: Atomistic Insights into the Ensemble of Open↔Closed Transitions. Journal of Molecular Biology, 394(1):160–176, November 2009.

  1. URL: https://linkinghub.elsevier.com/retrieve/pii/S0022283609011164, doi:10.1016/j.jmb.2009.09.009.

[2] Richard J. Gowers, Max Linke, Jonathan Barnoud, Tyler J. E. Reddy, Manuel N. Melo, Sean L. Seyler, Jan Domański, David L. Dotson, Sébastien Buchoux, Ian M. Kenney, and Oliver Beckstein. MDAnalysis: A Python Package for the Rapid Analysis of Molecular Dynamics Simulations. Proceedings of the 15th Python in Science Conference, pages 98–105, 2016.

  1. URL: https://conference.scipy.org/proceedings/scipy2016/oliver_beckstein.html, doi:10.25080/Majora-629e541a-00e.

[3] Naveen Michaud-Agrawal, Elizabeth J. Denning, Thomas B. Woolf, and Oliver Beckstein. MDAnalysis: A toolkit for the analysis of molecular dynamics simulations. Journal of Computational Chemistry, 32(10):2319–2327, July 2011.

  1. URL: http://doi.wiley.com/10.1002/jcc.21787, doi:10.1002/jcc.21787.

[4] Matteo Tiberti, Elena Papaleo, Tone Bengtsen, Wouter Boomsma, and Kresten Lindorff-Larsen. ENCORE: Software for Quantitative Ensemble Comparison. PLOS Computational Biology, 11(10):e1004415, October 2015.

  1. URL: https://journals.plos.org/ploscompbiol/article?id=10.1371/journal.pcbi.1004415, doi:10.1371/journal.pcbi.1004415.